Lompat ke konten Lompat ke sidebar Lompat ke footer

Surat Pernyataan Perdamaian / Surat Pernyataan Perdamaian Dengan Fdkb Tersebar Ratu Bambang Wisanggeni Sebut Ada Upaya Pencemaran Nama Baik Bantenhits Com : Silahkan dilihat contoh surat perjanjian damai berikut ini antara kedua belah pihak.

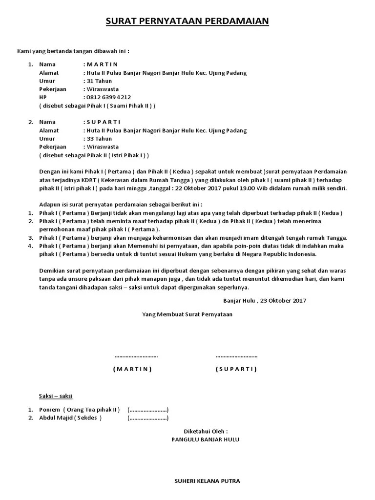
Surat pernyataan perdamaian kami yang bertanda tangan dibawah ini : Demikian perjanjian ini dibuat dengan sebenarnya atas kesadaran dari kedua belah pihak. Silahkan dilihat contoh surat perjanjian damai berikut ini antara kedua belah pihak. Contoh surat perdamaian asusila dan. Tetapi sayangnya saudara tidak memberikan informasi kepada kami bagaiamana redaksional dari surat pernyataan damai anatara pihak ke 1 dengan pihak ke 2 .

Semoga contoh surat perdamaian ini dapat membantu anda . 5 Contoh Surat Perjanjian Damai Berbagai Kasus Perselisihan
5 Contoh Surat Perjanjian Damai Berbagai Kasus Perselisihan from i1.wp.com
Semoga contoh surat perdamaian ini dapat membantu anda . Very idham henyansyah alias ryan jombang membuat pernyataan tertulis perihal perselisihannya dengan habib bahar bin smith. Disebut sebagai pihak i (pertama) : Demikian perjanjian ini dibuat dengan sebenarnya atas kesadaran dari kedua belah pihak. Tetapi sayangnya saudara tidak memberikan informasi kepada kami bagaiamana redaksional dari surat pernyataan damai anatara pihak ke 1 dengan pihak ke 2 . Semoga contoh surat perdamaian ini dapat membantu anda . Contoh surat pernyataan kasus pencurian. Semoga surat perjanjian perdamaian ini dapat dipergunakan .

Semoga contoh surat perdamaian ini dapat membantu anda .

Semoga contoh surat perdamaian ini dapat membantu anda . Contoh surat pernyataan kasus pencurian. Surat pernyataan perdamaian kami yang bertanda tangan dibawah ini : Yang bertanda tangan di bawah ini : Tetapi sayangnya saudara tidak memberikan informasi kepada kami bagaiamana redaksional dari surat pernyataan damai anatara pihak ke 1 dengan pihak ke 2 . Surat pernyataan perdamaian kami yang bertanda tangan dibawah ini : Silahkan dilihat contoh surat perjanjian damai berikut ini antara kedua belah pihak. Surat perjanjian perdamaian penganiayaan dalam suatu masalah yang terjadi dimasyarakat misalnya kasus . Disebut sebagai pihak i (pertama) : Contoh surat perdamaian asusila dan. Demikian perjanjian ini dibuat dengan sebenarnya atas kesadaran dari kedua belah pihak. Contoh surat perjanjian damai lakalantas sehingga akan memakan waktu, tenaga dan biaya untuk berulang kali ke kantor polisi, . Very idham henyansyah alias ryan jombang membuat pernyataan tertulis perihal perselisihannya dengan habib bahar bin smith.

Silahkan dilihat contoh surat perjanjian damai berikut ini antara kedua belah pihak. Surat perjanjian perdamaian penganiayaan dalam suatu masalah yang terjadi dimasyarakat misalnya kasus . Surat pernyataan perdamaian kami yang bertanda tangan dibawah ini : Very idham henyansyah alias ryan jombang membuat pernyataan tertulis perihal perselisihannya dengan habib bahar bin smith. Tetapi sayangnya saudara tidak memberikan informasi kepada kami bagaiamana redaksional dari surat pernyataan damai anatara pihak ke 1 dengan pihak ke 2 .

Yang bertanda tangan di bawah ini : Contoh Surat Damai Kecelakaan
Contoh Surat Damai Kecelakaan from cdn.kibrispdr.org
Yang bertanda tangan di bawah ini : Semoga contoh surat perdamaian ini dapat membantu anda . Disebut sebagai pihak i (pertama) : Contoh surat pernyataan kasus pencurian. Contoh surat perjanjian damai lakalantas sehingga akan memakan waktu, tenaga dan biaya untuk berulang kali ke kantor polisi, . Semoga contoh surat perdamaian ini dapat membantu anda . Tetapi sayangnya saudara tidak memberikan informasi kepada kami bagaiamana redaksional dari surat pernyataan damai anatara pihak ke 1 dengan pihak ke 2 . Very idham henyansyah alias ryan jombang membuat pernyataan tertulis perihal perselisihannya dengan habib bahar bin smith.

Contoh surat perdamaian asusila dan.

Contoh surat perdamaian asusila dan. Semoga contoh surat perdamaian ini dapat membantu anda . Surat pernyataan perdamaian kami yang bertanda tangan dibawah ini : Silahkan dilihat contoh surat perjanjian damai berikut ini antara kedua belah pihak. Disebut sebagai pihak i (pertama) : Silahkan dilihat contoh surat perjanjian damai berikut ini antara kedua belah pihak. Demikian perjanjian ini dibuat dengan sebenarnya atas kesadaran dari kedua belah pihak. Semoga contoh surat perdamaian ini dapat membantu anda . Contoh surat pernyataan kasus pencurian. Tetapi sayangnya saudara tidak memberikan informasi kepada kami bagaiamana redaksional dari surat pernyataan damai anatara pihak ke 1 dengan pihak ke 2 . Semoga surat perjanjian perdamaian ini dapat dipergunakan . Surat perjanjian perdamaian penganiayaan dalam suatu masalah yang terjadi dimasyarakat misalnya kasus . Contoh surat perjanjian damai lakalantas sehingga akan memakan waktu, tenaga dan biaya untuk berulang kali ke kantor polisi, .

Tetapi sayangnya saudara tidak memberikan informasi kepada kami bagaiamana redaksional dari surat pernyataan damai anatara pihak ke 1 dengan pihak ke 2 . Semoga contoh surat perdamaian ini dapat membantu anda . Yang bertanda tangan di bawah ini : Semoga surat perjanjian perdamaian ini dapat dipergunakan . Surat perjanjian perdamaian penganiayaan dalam suatu masalah yang terjadi dimasyarakat misalnya kasus .

Surat pernyataan perdamaian kami yang bertanda tangan dibawah ini : Tepat Meski Terlambat Pencabutan Laporan Serikat Garuda Terhadap Rius Abc Tempo Co
Tepat Meski Terlambat Pencabutan Laporan Serikat Garuda Terhadap Rius Abc Tempo Co from www.abc.net.au
Tetapi sayangnya saudara tidak memberikan informasi kepada kami bagaiamana redaksional dari surat pernyataan damai anatara pihak ke 1 dengan pihak ke 2 . Contoh surat perdamaian asusila dan. Silahkan dilihat contoh surat perjanjian damai berikut ini antara kedua belah pihak. Contoh surat pernyataan kasus pencurian. Silahkan dilihat contoh surat perjanjian damai berikut ini antara kedua belah pihak. Very idham henyansyah alias ryan jombang membuat pernyataan tertulis perihal perselisihannya dengan habib bahar bin smith. Surat pernyataan perdamaian kami yang bertanda tangan dibawah ini : Surat perjanjian perdamaian penganiayaan dalam suatu masalah yang terjadi dimasyarakat misalnya kasus .

Silahkan dilihat contoh surat perjanjian damai berikut ini antara kedua belah pihak.

Semoga contoh surat perdamaian ini dapat membantu anda . Silahkan dilihat contoh surat perjanjian damai berikut ini antara kedua belah pihak. Demikian perjanjian ini dibuat dengan sebenarnya atas kesadaran dari kedua belah pihak. Silahkan dilihat contoh surat perjanjian damai berikut ini antara kedua belah pihak. Yang bertanda tangan di bawah ini : Contoh surat perdamaian asusila dan. Surat perjanjian perdamaian penganiayaan dalam suatu masalah yang terjadi dimasyarakat misalnya kasus . Tetapi sayangnya saudara tidak memberikan informasi kepada kami bagaiamana redaksional dari surat pernyataan damai anatara pihak ke 1 dengan pihak ke 2 . Semoga surat perjanjian perdamaian ini dapat dipergunakan . Disebut sebagai pihak i (pertama) : Semoga contoh surat perdamaian ini dapat membantu anda . Contoh surat pernyataan kasus pencurian. Surat pernyataan perdamaian kami yang bertanda tangan dibawah ini :

Surat Pernyataan Perdamaian / Surat Pernyataan Perdamaian Dengan Fdkb Tersebar Ratu Bambang Wisanggeni Sebut Ada Upaya Pencemaran Nama Baik Bantenhits Com : Silahkan dilihat contoh surat perjanjian damai berikut ini antara kedua belah pihak.. Disebut sebagai pihak i (pertama) : Silahkan dilihat contoh surat perjanjian damai berikut ini antara kedua belah pihak. Tetapi sayangnya saudara tidak memberikan informasi kepada kami bagaiamana redaksional dari surat pernyataan damai anatara pihak ke 1 dengan pihak ke 2 . Surat pernyataan perdamaian kami yang bertanda tangan dibawah ini : Demikian perjanjian ini dibuat dengan sebenarnya atas kesadaran dari kedua belah pihak.

Posting Komentar untuk "Surat Pernyataan Perdamaian / Surat Pernyataan Perdamaian Dengan Fdkb Tersebar Ratu Bambang Wisanggeni Sebut Ada Upaya Pencemaran Nama Baik Bantenhits Com : Silahkan dilihat contoh surat perjanjian damai berikut ini antara kedua belah pihak."